TRIGONOMETRY MEMORY TIP
There is a simple way to remember the sine, cosine, and tangent of special trigonometry angles.
The special trig angles are 0º, 30º, 45º, 60º, and 90º. What makes these angles special? The 30º-60º-90º triangle is one-half of an equilateral triangle, while the 45º-45º-90º triangle is one-half of a square. In both cases, the trig functions (sine, cosine, and tangent) can be expressed as simple ratios.
Here is the trick for quickly working out the sine, cosine, and tangent of 0º, 30º, 45º, 60º, and 90º.
STEP 1: Special angles.
Write the special angles in order.
STEP 2: Integers.
Write the integers 0 thru 4 in order.
STEP 3: Squareroots.
Squareroot each number.
STEP 4: Find the sine of theta.
Divide each number by 2.
These are the sine of 0º, 30º, 45º, 60º, and 90º.
It’s that simple. Here’s a recap:
- Write the numbers 0 thru 4.
- Squareroot each number.
- Divide each number by 2.
STEP 5: Find the cosine of theta.
Just write the previous numbers in reverse order.
Why does this work? Because the sine of theta equals the cosine of the complement of theta: sin(θ)=cos(90º–θ). What’s opposite to theta is adjacent to its complement.
STEP 6: Find the tangent of theta.
Divide sine theta by cosine theta.
TRIG CHART
This chart shows all of the steps together.
- Write the special angles.
- Write the integers 0 thru 4.
- Squareroot each number.
- Divide each number by 2. This gives you sine of theta.
- Write the numbers in reverse order. This gives you cosine of theta.
- Divide the previous two rows (sine over cosine). This gives you tangent theta.
NOTE
There are two different, yet equivalent ways, to write the above chart.
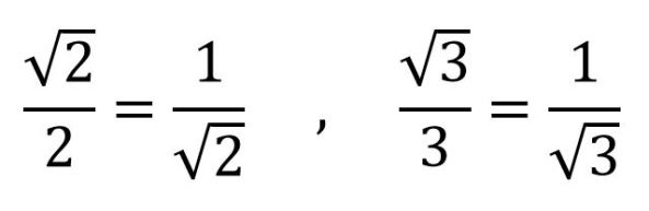
That’s because of the following properties of irrational numbers:

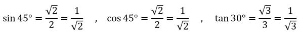
So, for example, there are alternative ways to express the following trig values:

The chart on this blog uses standard form. Most math courses use standard form, which means that there no irrational numbers (like root 2) in the denominator.
Sometimes you find the trig table in another nonstandard form. In that form, you see 1 over root 2 in place of root 2 over 2, and you see 1 over root 3 in place of root 3 over 3.
It’s important to realize that both forms are correct. The standard form, however, is expected in most math courses.
CHRIS MCMULLEN, PH.D.
Copyright © 2015 Chris McMullen, author of the Improve Your Math Fluency series of math workbooks
- Trigonometry Essentials Practice Workbook with Answers
- Learn or Review Trigonometry Essential Skills
- Trigonometry Flash Cards (for Kindle)
- Algebra Essentials Practice Workbook with Answers
- Systems of Equations: Simultaneous, Substitution, Cramer’s Rule
- Other volumes cover fractions, long division, arithmetic, and more
- Also look for books on the fourth dimension, astronomy, conceptual chemistry, and more







