SINE, COSINE, AND TANGENT OF 15° AND 75°
It is possible to find the sine, cosine, and tangent of 15° and also 75° without using a trig identity (and without using a calculator).
The trick is to begin with a 75°-75°-30° isosceles triangle, as shown above. Let AB = AC = 2. These are the sides opposite to the 75° angles. The remaining side, BC, is unknown at this point.
With side AB serving as the base, draw an altitude down from point C, as shown below. This divides the isosceles triangle into two right triangles. Triangle ACD is a 30°-60°-90° triangle and triangle BCD is a 75°-15°-90° triangle.
It is well-known that the sides of a 30°-60-°90° triangle come in the ratio 1:sqrt(3):2, with 1 opposite to 30°, sqrt(3) opposite to 60°, and 2 as the hypotenuse. Since AC = 2 is the hypotenuse, this means that CD = 1 and AD = sqrt(3).
Now we know that the altitude of triangle ABC is CD = 1, which is one side of triangle BCD. We can find side BD by subtracting AD from AB. Since AB = 2 and AD = sqrt(3), we get BD = 2 – sqrt(3).
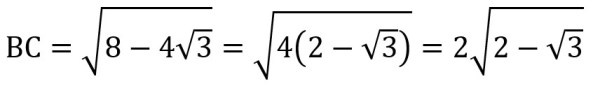
The Pythagorean theorem can then be used to determine BC, which is the hypotenuse of triangle BCD.
Recall that BD = 2 – sqrt(3) and that CD = 1. After applying the Pythagorean theorem, apply the “foil” method from algebra: (x – y)² = x² – 2xy + y². Recall that (sqrt(3))² = sqrt(3) × sqrt(3) = 3.
To solve for BC, take the square root of both sides of the equation. Factor out the 4. Recall that sqrt(ab) = sqrt(a) × sqrt(b). Note that sqrt(4) = 2.
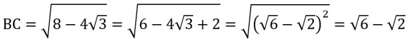
The above answer has one square root inside of another. There is a clever way to rewrite this without using a nested square root. Rewrite 8 as 6 + 2. The reason behind this is that (sqrt(6))² = 6 and (sqrt(2))² = 2. If you “foil” out (sqrt(6) – sqrt(2))², you get 6 – 2sqrt(12) + 2 = 8 – 4sqrt(3) because sqrt(12) = sqrt(4) × sqrt(3) = 2 sqrt(3) such that 2sqrt(12) = 2(2)sqrt(3) = 4 sqrt(3). If you’re still not convinced, note that sqrt(8 – 4sqrt(3)) is approximately 1.03527618 on a calculator, and that sqrt(6) – sqrt(2) is also approximately 1.03527618 on a calculator.
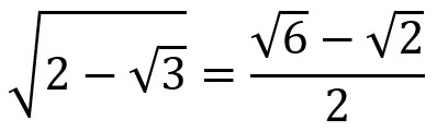
Since BC = 2 sqrt(2 – sqrt(3)) and BC = sqrt(6) – sqrt(2), it follows from the transitive property that 2 sqrt(2 – sqrt(3)) = sqrt(6) – sqrt(2). Divide both sides by 2 to get the following:
The following forms for BC are equivalent, but the right expression is considered to be “standard form.”
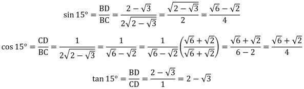
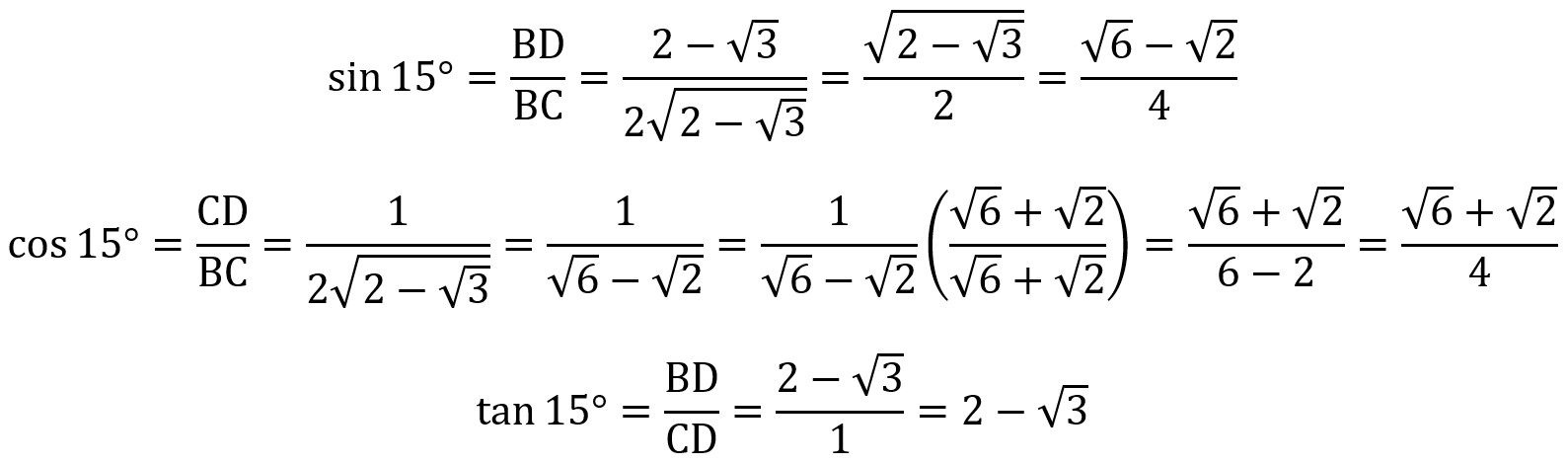
Now that we know BC, BD, and CD, we can easily find the sine, cosine, and tangent of 15°. In triangle BCD, note that BD is opposite to 15°, CD is adjacent to 15°, and BC is the hypotenuse. For the sine of 15°, note that (2 – sqrt(3)) / sqrt(2 – sqrt(3)) = sqrt(2 – sqrt(3)) for the same reason that x/sqrt(x) = sqrt(x). For the cosine of 15°, the answer 1/(sqrt(6) – sqrt(2)) is equivalent to the answer (sqrt(6) + sqrt(2))/4. Both answers approximately equal 0.965925826 on a calculator, but the rightmost expression is considered to be “standard form” because it has a rational denominator. We multiplied the numerator and denominator each by (sqrt(6) + sqrt(2)) in order to rationalize the denominator. This is called “multiplying by the conjugate.” The conjugate of sqrt(6) – sqrt(2) is sqrt(6) + sqrt(2) because the product of these two conjugate expressions is rational. When applying the “foil” method, the irrational terms cancel out.
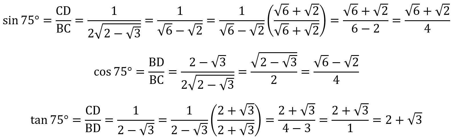
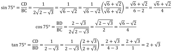
Note that the sine of 15° is equivalent to the cosine of 75°, and that the cosine of 15° is equivalent to the sine of 75°. What is “opposite” for 15° is “adjacent” for 75°, and vice-versa. For the tangent of 75°, we again multiplied by the conjugate in order to rationalize the denominator.
Below is a summary of our final answers.
CHRIS MCMULLEN, PH.D.
Copyright © 2021 Chris McMullen, author of the Improve Your Math Fluency series of math workbooks
Newest releases:
- Plane Geometry Practice Workbook with Answers (Volumes 1 and 2)
- 101 Involved Algebra Problems (includes full solutions)
- Trig Identities Practice Workbook with Answers
- Logarithms and Exponentials Essential Skills Practice Workbook (with Answers)
- Master Essential Algebra Skills Practice Workbook (with Answers)
- Word Problems with Answers
































