CONTENTS
This article includes the following sections:
- Ways to Challenge Advanced Students
- How to Make Challenging Algebra Problems
- A Couple of Sample Problems (from my latest book)
- 50 Challenging Algebra Problems – Fully Solved (my latest workbook)
WAYS TO CHALLENGE ADVANCED STUDENTS
Some students catch on quickly, while others struggle to understand.
So how can you engage and challenge the better problem-solvers without blowing the minds of the other students?
- If you’re a teacher, you can include a challenging bonus question on an assignment, quiz, or exam.
- If you’re a parent, you can search for supplemental material with challenging problems.
- If you’re a student, you can try solving harder unassigned problems, reading ahead in your textbook, or looking for supplemental material.
HOW TO MAKE CHALLENGING ALGEBRA PROBLEMS
For teachers (or very knowledgeable parents) who would like to make challenging problems, here are some ideas for how to go about it:
- Disguise the quadratic equation. One way is to make more than the usual three terms and put some on both sides of the equation, so that students need to combine like terms. Another way is to substitute y = xc, where c is a power of your choice. For example, if you let c = 2, your equation will look like a quartic, but if students make the substitution y = x2, the quartic will turn into a quadratic. Another example is to let c = 1/2 and replace y = x1/2 with a squareroot. When students see that squareroot, it won’t seem like a quadratic. Tip: Think of what you want the answers to be, like x = 2 and x = 4/3, and then f.o.i.l. this into the quadratic, like (x – 2)(x – 4/3) = 0. (In this example, I would multiply both sides by 3 to get rid of the fraction.)
- Make a system of equations look different from normal. Students are used to seeing things like 3x + 2y = 21 and 4x – 5y = 5. Instead, you might write the second equation like xy = 15, or y = 15/x. Another variation is to replace x with 1/x and y with 1/y. In my example, you would get 3/x + 2/y = 21 and 4/x – 5/y = 5. If students define t = 1/x and u = 1/y, they could then solve for t and u like usual, and then solve for x and y from t and u. Tip: When making a system, first decide on the answers, like x = 9 and y = 12, next make the coefficients, and lastly determine the constants.
- Put squareroots in problems they should know how to solve, but which usually don’t have squareroots in them. For example, if you have squareroot(3) and 1/squareroot(3) in the same equation, the terms can be combined by rationalizing the denominator to rewrite 1/squareroot(3) as squareroot(3) / 3. (Multiply the numerator and denominator by the squareroot of 3, and use the rule that the squareroot of 3 times itself equals 3.) Then factor out squareroot(3) to combine the terms.
- Put variables inside of squareroots. For example, you could write something like squareroot(x + 8) = x + 2. When you square both sides, you f.o.i.l. out the (x + 2) squared. There are many other ways to write a solvable equation with a variable in a squareroot. You could have things like squareroot(x) or 1/squareroot(x).
- Include an extra variable that cancels out. If students count equations and unknowns, it will seem like the problem can’t be solved. They’re partly right: The variable that cancels out will be indeterminate. But since one variable cancels, in this case it will be possible to solve for the other unknown(s).
- Use fractional exponents like 2/3 or 3/4. For example, if you isolate x to the power of 2/3, you can solve for x by raising both sides of the equation to the power of 3/2. You can make the numbers work out so that a calculator isn’t needed for students who understand the fractional powers. For example, if you raise 8 to the power of 2/3, you can do this in your head, since the cube root of 8 equals 2 (the power of 1/3 means to take the cube root, and you can think of 2/3 as involving a square and a cube root in any order). Of course, you can easily check your answer with a calculator, just to be sure.
- Put the unknown in a denominator. It’s amazing how many students freeze up over this, yet it’s not uncommon in science for variables to appear in the denominators of formulas. The progression of this occurs when students need to make a common algebraic denominator to solve for the unknown.
- Give problems that involve inequalities, especially when there are minus signs. For example, make a system of inequalities that involves substitution.
- Look for applications of algebra in higher-level math, physics, engineering, chemistry, economics, astronomy, and other subjects. (Sometimes, the problem isn’t really that hard, but it just seems hard because it’s out of context. But there are also challenging applied algebra problems in many subjects.)
- Make word problems that apply algebra. There is great variety in what can be done in the way of algebraic word problems.
- Prepare an elaborate solution that has an intentional mistake and ask students to figure out what is wrong. Ideally, the mistake would seem subtle, and would be a common mistake that many students tend to make on their own (like not distributing a minus sign correctly).
There are two types of problems that especially appeal to me:
- One kind where the problems look harder than they really are. I love it when students feel convinced that the problem is impossible based on what they know, but when they eventually figure it out on their own. This happens sometimes when a problem appears out of context, involves an application of algebra, or when a simple substitution makes something seem a lot more complicated than it really is. Word problems often fall in this category, too.
- The other kind is where the problem looks much easier than it really is. The structure might be so simple that at first glance you expect it to be a piece of cake, but there is some subtle aspect to it that it turns out to be much harder than it seemed. The catch is that the problem still needs to be reasonably solvable, so that the top students can still figure it out given enough time and sufficient background. It’s surprising how many mathematical problems look easy, but turn out not to be nearly as easy as they look.
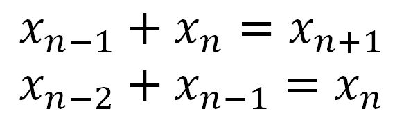
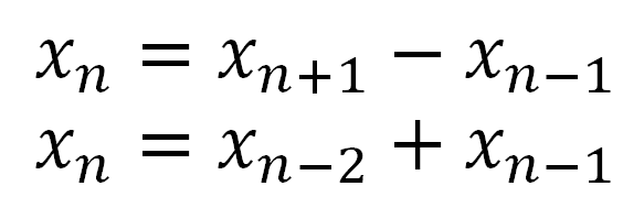
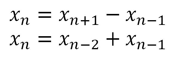
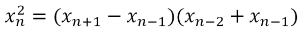
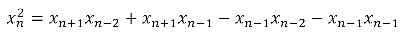
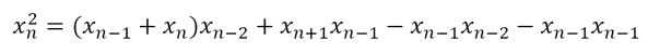
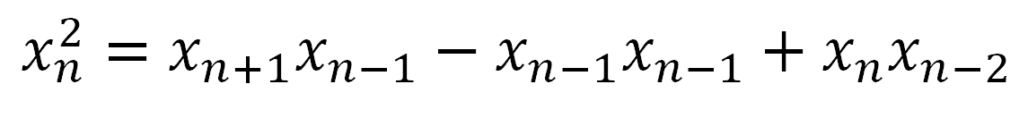
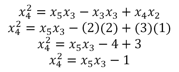
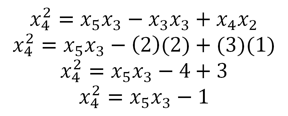
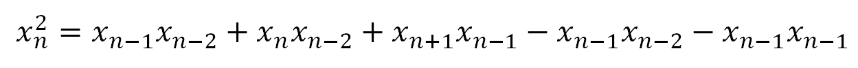
A COUPLE OF SAMPLE PROBLEMS
Here are a couple of sample problems from my latest math workbook.
50 CHALLENGING ALGEBRA PROBLEMS (FULLY SOLVED)
My latest math workbook includes 50 challenging algebra problems, space to try and solve them (in the paperback edition), and full solutions on the page following each problem (you won’t be able to see the full solutions until you turn the page).
There is a healthy variety of problems, involving a range of techniques. There is also a good range in the level of difficulty from problem to problem.
50 Challenging Algebra Problems (Fully Solved)
Paperback ISBN: 19416912344
Kindle ASIN: B07C7WHV3R
CHRIS MCMULLEN, PH.D.
Copyright © 2018 Chris McMullen, author of the Improve Your Math Fluency series of math workbooks
Newest releases (in math):
- 50 Challenging Algebra Problems (Fully Solved)
- Fractions Essentials Workbook with Answers
- 300+ Mathematical Pattern Puzzles
Improve Your Math Fluency. Build fluency in:
- arithmetic
- long division
- fractions
- algebra
- trigonometry
- graphing
- physics

















